BIOCHEMISTRY
RABIA IRSHAD WRITER
INSECT REPELLENT
FINISHINHG METHODS IN
TEXTILE INDUSTRY
___
Medicascientist.com
METHODS
1. Method of Microencapsulation
Microencapsulation is the process of wrapping and enclosing one material within others upon an extremely tiny scale, generating capsule ranging across the spectrum from just under a micron up to over one hundred microns. Microcapsules could potentially be sphere-like produced, having a continuous wall around the centre. The three types of substances might all be micro-encapsulated. Central components might instead of be enclosed and gently discharged via the capsule's exterior; this is known as a controlled dispersion system as well as diffusing method (Ogilvie-Battersby et al., 2022).
2. Pad-Dry-Cure Technique for Applying Microencapsulated Repellents.
1. Citronella oil is used as a mosquito repellent in cotton finishing.
The cotton textile had been treated with a solution of microencapsulated citronella oil treatment, that provides a more intense and permanent insects-repellent effects than material having a solution of ethanol of the essential oil that was sprinkled more than three weeks. Comparing investigations of organic compounds that include lemons oil, citronella essential oil, tulips oil, as well as DEET utilised in textiles encapsulating approaches show that the adverse consequences of natural oils (particularly lemongrass) do not remain similar to one another (Massella et al., 2019).
Figure 7: Citronella oil structure of chemical formulation.
2. To repel mosquitoes on cotton, use Andrographis paniculata herbal extract.
Andrographis panic has been demonstrated that it can efficiently transmit the insect repellent's action on textiles made from cotton to ecologically sustainable, such as extracts of herbs. A microencapsulation technique was used in a research to obtain a mosquito repellent that had an impact upwards of 94 percent, displaying mosquitoes-resistant solids behaviour for a maximum of thirty washes (Valle et al., 2021).
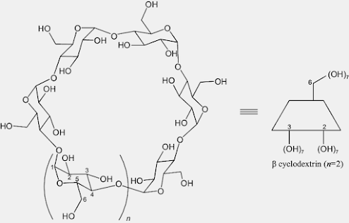
3. Cyclodextrin uses
Cyclodextrins may combine to generate cyclic oligosaccharides that can be combined containing a wide range of beneficial representatives, including repellents that repel insects. The β-cyclodextrin chemical composition. These may become attached to cotton surface via bonds of ester formed with polycarboxylic acid like 1,2,3,4-butane tetracarboxylic acid and acid citric. Permethrin as well as bio-allethrin, both insecticides, were integrated within the macromolecular components of the transformed textiles made from cotton (Xiao et al., 2022).
Figure 8: chemical structure of Cyclodextrins.
The data imply that raising the quantity of insecticides within the finished textiles resulting in effective mosquitoes repellent properties owing to an increase within the concentration of cyclodextrin. In accordance with a prior fibre alteration through grafted employing monochlorotriasinyl-β-cyclodextrin (MCT-β-CD), wherein the compound was inserted into the β-cyclodextrin cavity, appropriate modern technology was employed to manufacture limonene for textiles made of cotton (Abdul Aziz et al., 2015).
4. Methods of Emulsion and Direct Application
The mixture known as an emulsion is composed of two liquids that are indistinguishable, the first of that is a scattered portion while another that is a continuous stage. Throughout majority textiles programmes, the form of emulsion is created as an oil mixed with water solution. The widespread distribution component is oil, while the continuous phase is water. An emulsifying agent is a chemical which is employed to form the emulsion as well as give their kinetic durability. The oils of essential plants generated that extends from the plant's stems, roots, leaves, bulbs, fruits and vegetables, as well as seed of several different kinds of plants include insect repellent characteristics. Because oils that are essential are volatile and they vaporize quickly at ambient temperatures or when the environmental temperature of the surrounding environment rises. The chemical makeup of the basic oil, upon the other hand, frequently influences the efficiency of insects repellency (Rani et al., 2021).
Pralethrin, a type of insect insect repellent, has been sprayed straight upon the cotton's fabric. Something procedure was carried out to improve prallethrin's efficacy as a repellent for insects and fabrics durability. The beneficial effects and long-term stability of prallethrin's are evaluated by multiple the rinses as well as preservation among the textiles. The material itself was impregnated using an solution comprising Pralethrin, a polymers binding agent, as well as a linking medication, or the fabric was surface coated with a polymers binders comprising Pralethrin.The outcomes from the processed textiles reveal that raising the percentage of Pralethrin throughout the treated fabric within the studied range (250-1500 mg/m) enhances the repellent as well as destructive activities against mosquitos.The repellent qualities ratings enhanced when the time spent exposed period was increased (Fathi et al., 2021).
Prallethrin, Permethrin, as well as eucalyptus oil were put to a fabric through direct application or through a binder/cross-linker, as well as the insect repellent's efficiency was tested prior to and subsequent to wash. In the unclean condition, both insect repellents displayed good-to-excellent mosquitoes repellency (Bakry et al., 2016).
2.The Sol-Gel Method
This approach is a revolutionary way to create hard substances from small molecules. The method involves converting monomer through a colloidal suspension (sol), that acts as the starting point for producing a network of interconnections (gel) of solitary particulate and networked polymer. The sol-gel technique is an inexpensive, lower temperatures approach that provides for exact control of the item's chemical make-up. The sol-gel technology was just recently utilised to develop a technologically feasible way for producing long-lasting insecticide fabrics (Lucia et al., 2021).
Figure 9: Sol-gel process simplified diagram.
Permethrin was injected into cotton textiles by the use of a the silicon dioxide the nano-coating method which was placed utilising conventional cushioning until it healed. The impact of sol-gel procedure variables including solid silicon concentration and permethrin/tetraethyl orthosilicate (TEOS) ration on insecticide behaviour as well as fibre characteristics was studied. The nano sol covering resulted in fabrics with a significant repellent to mosquitoes effectiveness that were both durable and soft (Castro et al., 2014).
Figure; Cotton garments are treated with permethrin sol gel to provide long-lasting insecticides.
In addition, the pesticide concentration may be managed by simply adding the amount that is required of insecticides inside the coating solution. The washing process speed of textile fabrics with a promethazine loaded of 500 mg/m2 of fabric has been assessed and the results revealed that the covering had a high insecticidal impact even after 50 cleaning rounds (Volkov et al., 2015).
Figure ; sol gel containing fabrics.
.png)






Post a Comment